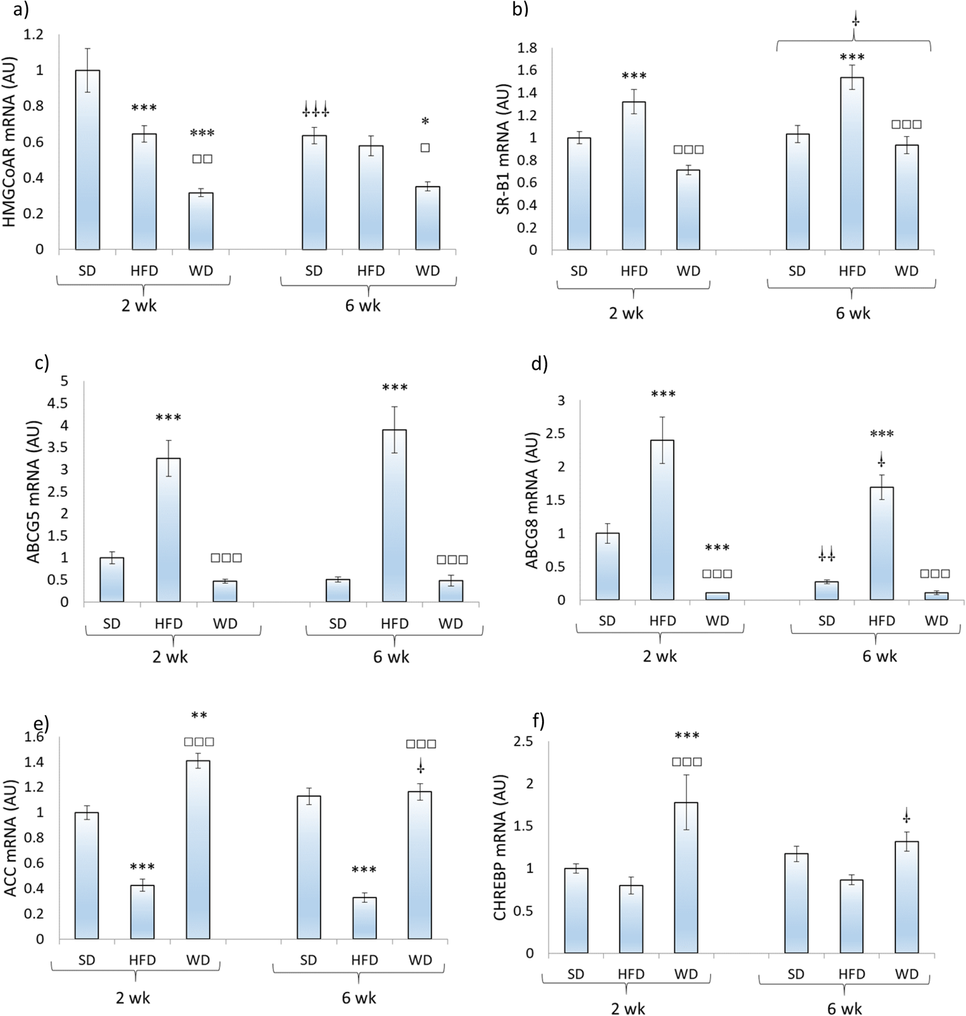
Fig. 3
From: Two weeks of western diet disrupts liver molecular markers of cholesterol metabolism in rats

Hepatic gene expression of 3-hydroxy-3-methyl-glutaryl-CoA reductase (HMGCoAR), scavenger receptor class B member 1 (SR-B1), ATP-binding cassette protein G5 (ABCG5), ATP-binding cassette protein G8 (ABCG8), acetyl-CoA carboxylase (ACC), and carbohydrate-response element binding protein (ChREBP) in rats (n = 7–10) fed a standard (SD), high fat (HFD), or a western (WD) diet for 2 and 6 weeks. * Significantly (P < 0.05) different from SD; ** P < 0.01; *** P < 0.001; □ significantly (P < 0.05) different from HFD; □□□ P < 0.001; □ significantly (P < 0.05) different from the two-week values, respectively; □□ P < 0.01; □□□ P < 0.001