- Research
- Open access
- Published:
Gender differences in the association between the uric acid to high-density lipoprotein cholesterol ratio and diabetes risk: a mediation analysis of c-reactive protein, triglycerides, and insulin resistance
Lipids in Health and Disease volume 23, Article number: 409 (2024)
Abstract
Background
The uric acid to high-density lipoprotein cholesterol ratio (UHR) has emerged as a novel metabolic marker and is proven to be associated with diabetes risk. However, there is still a lack of systematic research regarding its role in gender differences and underlying mechanisms. This study aims to assess the association of UHR with diabetes risk in the context of gender differences and to investigate its mediation effects through metabolic and inflammatory pathways.
Methods
This study utilized data from NHANES 2005–2010 and included 6,843 adult participants. Multivariate logistic regression was employed to assess the association between UHR and diabetes risk, and restricted cubic spline (RCS) along with correlation analysis was applied to explore its relationship with metabolic risk factors. Multiple mediation analysis was conducted to evaluate the mediating effects of homeostasis model assessment of insulin resistance (HOMA-IR), triglycerides (TG), and C-reactive protein (CRP) on the association between UHR and diabetes risk.
Results
In the overall population, UHR was significantly positively associated with diabetes risk, but gender-stratified analysis revealed a stronger predictive effect in women. In the unadjusted model, every unit increase in UHR was linked to an 18.6% increase in diabetes risk in women (p < 0.001). In the quartile analysis, women in the highest quartile showed an 8.49-fold increased risk of diabetes (OR = 8.494, 95% CI: 5.542–13.019, p < 0.001), whereas no significant association was observed in men (p > 0.05). Mediation analysis revealed that HOMA-IR was the main mediator of the relationship between UHR and diabetes risk, with mediation effects of 64.55%, 118.38%, and 39.09% in the overall population, men, and women, respectively. Additionally, the mediation effect of TG was stronger in men (36.78%) and weaker in women (17.31%). The mediation effect of CRP was relatively minimal across all groups, accounting for 7.62% in men and 2.67% in women.
Conclusion
This study demonstrates that the association between UHR and diabetes risk exhibits gender differences, with higher diabetes risk observed in women, while men show stronger mediation effects in insulin resistance, lipid metabolism, and inflammatory response.
Introduction
Diabetes ranks among the most prevalent chronic diseases globally, posing a significant challenge to public health efforts worldwide [1]. In recent years, apart from conventional risk factors like obesity and unhealthy lifestyles, the uric acid to high-density lipoprotein cholesterol ratio (UHR) has gained widespread attention as a novel metabolic biomarker. As the components of UHR, both elevated uric acid (UA) and reduced high-density lipoprotein cholesterol (HDL-C) levels have been associated with increased diabetes risk through their respective metabolic impacts.
Specifically, uric acid (UA), the terminal product of purine metabolism, is often closely linked to insulin resistance (IR), chronic inflammation, and endothelial dysfunction when elevated [2]. Elevated uric acid levels may raise the risk of diabetes and cardiovascular diseases by suppressing nitric oxide (NO) production, stimulating vascular smooth muscle cell proliferation, and hastening atherosclerosis development [3]. Conversely, HDL-C, recognized as a protective factor against diabetes for its antioxidative, anti-inflammatory, and reverse cholesterol transport capabilities, is significantly linked to an elevated risk of diabetes when levels are reduced [4, 5]. As the ratio of these two metabolic markers, UHR more accurately reflects an individual’s metabolic state and can predict the risk of diabetes and other metabolic diseases by capturing the combined effects of increased uric acid and decreased HDL-C levels [6, 7].
To further investigate the association between UHR and metabolic diseases, it is necessary to explore the underlying factors. These potential factors may act as mediating mechanisms, playing a significant role in the development of diabetes risk. IR is regarded as the central pathological mechanism underlying type 2 diabetes, and numerous studies have established the strong link between IR and diabetes [8]. High uric acid levels worsen insulin resistance by suppressing nitric oxide (NO) synthesis in endothelial cells, which in turn influences the onset of diabetes [9, 10]. Moreover, chronic inflammation is also a critical determinant of diabetes risk. C-reactive protein (CRP), a classical inflammatory marker, has been widely proven to be strongly associated with the incidence of diabetes [11]. High uric acid can induce systemic inflammatory responses through the activation of the nuclear factor-kappa B (NF-κB) pathway, thereby exacerbating diabetes risk [12]. Meanwhile, a reduction in HDL-C levels diminishes its anti-inflammatory function, perpetuating chronic inflammation [13]. Triglycerides (TG), another crucial metabolic marker, are frequently linked to dyslipidemia and insulin resistance and represent one of the significant risk factors for diabetes [14]. Numerous studies have demonstrated that elevated TG levels exacerbate diabetes risk by impairing insulin sensitivity and disturbing the balance of lipid metabolism [15, 16]. Consequently, TG, CRP, and IR, as vital metabolic and inflammatory markers, have been widely validated for their strong association with diabetes risk, holding substantial significance in predicting and assessing diabetes risk.
Despite existing studies confirming a positive correlation between UHR and diabetes risk, the mediating mechanisms by which UHR affects diabetes risk have not yet been reported. Specifically, within different gender groups, the mechanisms through which UHR affects diabetes risk may exhibit significant differences. While current literature has examined the association of gender differences with diabetes incidence and metabolic characteristics, in-depth research on the mediating mechanisms of UHR under gender differences, especially the roles of insulin resistance, chronic inflammation, and lipid metabolism across genders, remains insufficient.
Therefore, this study intends to systematically assess the relationship between UHR and diabetes risk considering gender differences, and through multiple mediation analysis, unveil the potential mechanisms from the perspectives of insulin resistance, lipid metabolism, and inflammatory responses in both the overall population and gender stratifications. It further explores the pathways through which UHR is associated with diabetes risk across different groups, offering a theoretical foundation for personalized prevention strategies for diabetes.
Materials and methods
Data and sample sources
This study used data from the National Center for Health Statistics (NCHS) NHANES. NHANES is a comprehensive survey aimed at collecting representative data on the health and nutritional status of the civilian population in the United States, encompassing demographics, socioeconomic status, dietary habits, and health-related issues. To ensure sample diversity, NHANES uses a stratified, multistage probability sampling approach to select representative participants nationwide. The study protocol received approval from the NCHS Institutional Review Board at the Centers for Disease Control and Prevention (CDC), and all participants provided written informed consent. Data are publicly available at https://www.cdc.gov/nchs/nhanes/.
This research primarily analyzed the health data of adults from the NHANES 2005–2010 period. The original sample size consisted of 31,034 participants. We initially excluded individuals younger than 20, then excluded those lacking diabetes diagnostic indicators and UHR data, ultimately including 6,843 participants, of whom 1,336 were diagnosed with diabetes. The sample screening process is outlined in Fig. 1.
Exposure factors and outcome variables
The exposure variable in this study is the uric acid to high-density lipoprotein cholesterol ratio (UHR), measured through blood samples collected in the morning after overnight fasting to assess uric acid (UA) and high-density lipoprotein cholesterol (HDL-C). HDL-C levels were measured using direct immunoassay or precipitation methods, while serum uric acid concentration was assessed using the timed endpoint method. The calculation formula for UHR is: UHR (%) = [UA (mg/dL) / HDL-C (mg/dL)] × 100.
The outcome variable of this study is diabetes, assessed based on blood glucose parameters and questionnaires, which include hemoglobin A1c (HbA1c), fasting plasma glucose (FPG, mmol/L), random plasma glucose (RPG, mmol/L), two-hour oral glucose tolerance test (OGTT, mmol/L), as well as physician diagnoses and the use of antidiabetic medications or insulin. Participants had to fast for 8 to 24 h prior to laboratory testing, with fasting status confirmed during morning visits before laboratory analysis. Because the NHANES data do not provide random plasma glucose (RPG) directly, it is necessary to assess based on plasma glucose levels and fasting duration: if the fasting duration is 8 h or more, the measurement is fasting plasma glucose (FPG); if the fasting duration is less than 8 h, the measurement is random plasma glucose (RPG).
The diagnosis of diabetes is based on one of the following criteria: (1) HbA1c ≥ 6.5%; (2) FPG ≥ 7.0 mmol/L; (3) RPG ≥ 11.1 mmol/L or OGTT ≥ 11.1 mmol/L; (4) a previous diagnosis by a physician; (5) currently using antidiabetic medications or insulin. Diabetes and non-diabetes are encoded as 1 and 0, respectively.
Mediating variables
This study identified the following three mediating variables: homeostasis model assessment of insulin resistance (HOMA-IR), C-reactive protein (CRP), and triglycerides (TG). HOMA-IR evaluates the level of insulin resistance in individuals by calculating the ratio of fasting plasma insulin to fasting plasma glucose, and is a widely used method for assessing IR [17]. The formula is: HOMA-IR = FPG (mmol/L) × FINS (IU/L) / 22.52, where FPG represents fasting plasma glucose and FINS refers to fasting insulin. According to prior research, we define an HOMA-IR value greater than 2.5 as indicative of insulin resistance [18]. All mediating variables are continuous variables and were incorporated into the regression model to analyze their mediating effects on the relationship between UHR and diabetes risk.
Covariates
Based on current literature and clinical considerations, this study incorporated multiple confounding factors, including age, gender, race/ethnicity, education level, household income to poverty ratio (PIR), BMI, blood pressure, alcohol consumption status, smoking status, total cholesterol (TC), low-density lipoprotein cholesterol (LDL-C), and non-high-density lipoprotein cholesterol (Non-HDL-C). Race/ethnicity was categorized as: Mexican American, non-Hispanic Asian, non-Hispanic Black, non-Hispanic White, other Hispanic, and other/multiracial. Education level was classified into three levels: high school or below, some college, and college graduate or above. PIR was divided into three groups: <1.30, 1.30–3.49, and ≥ 3.50. BMI is calculated by dividing weight (in kilograms) by the square of height (in meters). The diagnosis of hypertension is determined by a physician’s diagnosis or the use of antihypertensive drugs. Smoking status is based on whether the individual has ever smoked 100 cigarettes; those answering “yes” are classified as smokers. Alcohol consumption status is determined by whether the individual has consumed ≥ 12 alcoholic beverages in the past year; those answering “yes” are classified as drinkers. All covariates were extracted from the NHANES database and standardized prior to inclusion in the analytical model to control for the effects of confounding factors on the outcomes.
Statistical methods
All data analyses in this study took into account the complex sampling design of NHANES and utilized weighted statistical methods to ensure the representativeness and robustness of the findings. The NHANES employs a complex, multistage, probability sampling design to assure national representation. As recommended by the National Center for Health Statistics (NCHS), we applied the provided sampling weights (WTMEC2YR), pseudo-stratum (SDMVSTRA), and pseudo-cluster (SDMVPSU) in all analyses to account for the study’s complex design. For the combined survey cycles, following the NHANES analysis guidelines, the two-year weights for each cycle were divided by 3 to create new sampling weights. Initially, participants were categorized based on their diabetes status and then stratified into quartiles according to the uric acid to high-density lipoprotein cholesterol ratio (UHR). For continuous variables following a normal distribution, weighted Student’s t-tests (for two-group comparisons) or weighted one-way ANOVA (for multiple group comparisons) were conducted; for continuous variables not following a normal distribution, weighted Mann-Whitney tests (for two-group comparisons) or weighted Kruskal-Wallis tests (for multiple group comparisons) were applied. Categorical variables were compared across groups using weighted chi-square tests. In all statistical descriptions, continuous variables are reported as weighted means ± standard deviations, while categorical variables are presented as unweighted frequencies and weighted percentages.
To evaluate the relationship between UHR and diabetes risk, this study developed three multivariable logistic regression models. Before modeling, we evaluated multicollinearity among all covariates using variance inflation factor (VIF) analysis. Model 1 was unadjusted for covariates, Model 2 was adjusted for gender (Total population), age, and race, while Model 3 further adjusted for BMI, PIR, hypertension, smoking, alcohol consumption, systolic blood pressure (SBP), diastolic blood pressure (DBP), CRP, TG, Non-HDL-C, LDL-C, and HOMA-IR on top of Model 2. In the regression analysis, UHR was assessed as both a continuous variable and categorized into quartiles. The results of each model are reported using odds ratios (OR) and their 95% confidence intervals (CI).
To further investigate the relationship between UHR and other metabolic markers, correlation analysis was conducted to assess the linear relationships between UHR and BMI, CRP, HOMA-IR, INS, LDL, Non-HDL-C, TG, and TC, with correlation coefficients reported via Pearson or Spearman tests. Subsequently, multiple linear regression models were employed to evaluate the regression relationships of these variables with UHR, reporting regression coefficients and their 95% confidence intervals. To explore the nonlinear relationship between UHR and diabetes risk, restricted cubic spline (RCS) analysis was conducted, with RCS curve analysis performed for the overall population, as well as male and female populations, to verify the nonlinear trends between UHR and diabetes risk. Sensitivity analysis was employed to identify the key variable combinations that association the significance of the nonlinear relationships.
This study also performed multiple mediation analyses to assess the indirect effects of HOMA-IR, CRP, and TG as mediators in the relationship between UHR and diabetes risk. The mediation effects were quantified by calculating direct effects (DE), indirect effects (IE), and total effects (TE), with significance testing conducted using a non-parametric bootstrap method (2000 resamples). All estimated mediation effects were reported along with their corresponding 95% confidence intervals.
Finally, to confirm the robustness of the model, sensitivity analyses were performed, including adjusting for various combinations of covariates, removing outliers, and conducting stepwise regression analyses to evaluate changes in the nonlinear relationships of the model. The sensitivity analysis also particularly investigated the association of key variables such as BMI, HOMA-IR, and SBP on the model results to assess whether they affect the significance of the model’s nonlinearity. All statistical analyses with a two-tailed P-value < 0.05 were deemed statistically significant. This study employed DecisionLinnc 1.0 software for data analysis [19], and all results were verified multiple times to ensure the accuracy and robustness of the analyses.
Results
Baseline characteristics
This study included a total of 6,843 participants, with an average age of 47.13 years, consisting of 5,507 non-diabetic subjects and 1,136 diabetic subjects. In the overall sample, males comprised 47.97% (3,292 individuals) and females made up 52.03% (3,551 individuals). Compared to the non-diabetic population, the levels of UHR, BMI, CRP, INS, HOMA-IR, TG, and UA were significantly elevated in the diabetic group (p < 0.001), while TC, LDL-C, and HDL-C levels showed significant declines (p < 0.001), with detailed data available in Table S1. These findings indicate noticeable differences in metabolic indicators among diabetic patients, suggesting that UHR and its related metabolic parameters may be closely linked to diabetes risk.
To further investigate the relationship between UHR and diabetes risk along with associated metabolic variables, participants were stratified into four quartiles (Q1-Q4) according to UHR levels. In the high UHR group, levels of BMI, SBP, DBP, CRP, HbA1c, OGTT, FPG, INS, HOMA-IR, Non-HDL-C, LDL-C, and TG increased significantly with rising UHR (p < 0.001), while TC levels showed significant declines (p < 0.001). Furthermore, the proportions of gender, age group, education level, smoking status, and hypertension exhibited significant differences among the different UHR quartiles (p < 0.001). Specifically, higher levels of UHR were significantly linked to the incidence rates of diabetes and insulin resistance (p < 0.001), with detailed data presented in Table 1. These results further substantiate the strong connection between UHR and metabolic disturbances, as well as diabetes risk.
In the subgroup analysis of UHR’s association with diabetes risk (see Fig. 2), we observed consistent trends in the relationship between UHR and diabetes risk across various subgroups based on race, education level, PIR, hypertension, smoking, and drinking lifestyle factors, with no significant interaction effects detected. However, the results of the gender stratification analysis indicated that the predictive effect of UHR on diabetes risk in women was significantly greater than that in men (interaction effect p < 0.001). The odds ratio (OR) of UHR for diabetes risk was 1.17 for women and 1.04 for men, indicating that UHR has a more pronounced effect on the metabolic status of females.
In the comparison of UHR levels between genders, it was found that, regardless of whether in the overall population or in the diabetic and non-diabetic groups, the UHR levels in males were significantly higher than those in females (p < 0.001) (see Table S2, Table S3). However, in the subsequent gender stratification analysis, the results revealed that in men, the prevalence of diabetes did not significantly change with increasing UHR; however, in women, higher UHR was significantly associated with an increased prevalence of diabetes, with the highest quartile (Q4) having a diabetes prevalence 5.7 times that of the lowest quartile (Q1) (Q4 vs. Q1: 37.21% vs. 6.52%, p < 0.001), with detailed data available in Table S4. This suggests that women may be more sensitive to the metabolic effects of UHR, and UHR plays a more significant role in predicting diabetes risk in women.
Multivariate logistic regression analysis of UHR and diabetes risk
We performed multivariate logistic regression analysis on the relationship between UHR and diabetes risk in the overall population, as well as in males and females separately. Fig. 3 shows the associations between UHR quartiles and diabetes risk under different models, and how the risk assessment results changed with the gradual inclusion of covariates in the models. In the overall population, the unadjusted model (M1) showed that UHR was significantly positively associated with diabetes risk, with each unit increase in UHR leading to a 7.4% increase in diabetes risk (p < 0.001); in the quartile analysis, the highest quartile group had a 3.16-fold increased risk of diabetes (OR = 3.156, 95% CI: 2.379–4.187, p < 0.001). After adjusting for covariates such as gender, age, and race (M2), the risk further increased to 4-fold (OR = 4.062, 95% CI: 2.797–5.899, p < 0.001). Even after adjusting for all covariates (M3), the association between UHR and diabetes risk remained significant, with the highest quartile group showing a 1.69-fold increase in diabetes risk (OR = 1.692, 95% CI: 1.07–2.677, p = 0.026), indicating that UHR is an effective predictor of diabetes risk both as a continuous variable and a categorical variable.
In the male group, although each unit increase in UHR resulted in a 3.7% increase in diabetes risk (p < 0.001), the quartile analysis did not show a significant association between UHR and diabetes risk (M1: OR = 1.151, 95% CI: 0.742–1.786, p = 0.529). Further adjustment for age, race (M2), and all other covariates (M3) still did not reveal a significant association between quartiles (M3: OR = 1.099, 95% CI: 0.694–1.739, p = 0.693), indicating that the change in UHR levels had little effect on diabetes risk in males.
In the female population, however, the association between UHR and diabetes risk was significantly stronger. In the unadjusted model (M1), each unit increase in UHR was associated with an 18.6% increase in diabetes risk (p < 0.001); in the quartile analysis, the highest quartile group had an 8.49-fold increased risk of diabetes (OR = 8.494, 95% CI: 5.542–13.019, p < 0.001). After progressively adjusting for age, and race (M2), the risk weakened slightly but remained significant (OR = 7.13, p < 0.001). Even after full adjustment for covariates (M3), the highest quartile group still had a 2.7-fold increased risk of diabetes (OR = 2.701, 95% CI: 1.348–5.412, p = 0.007), suggesting that the metabolic association of UHR with diabetes risk in females was significantly greater than in males.
Overall, the results suggest that UHR is a significant predictor of diabetes risk in females, while no obvious association was found in males, indicating that UHR may have a stronger predictive effect on diabetes risk in women.
Correlation analysis and linear regression of UHR with metabolic indicators
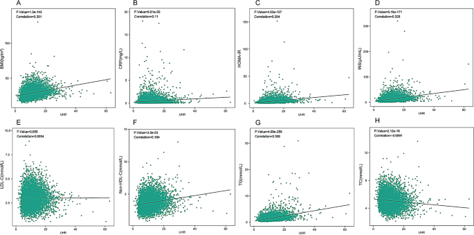
We further investigated the relationships between UHR and diabetes-related risk factors—including BMI, CRP, HOMA-IR, INS, LDL, Non-HDL-C, TG, and TC—and unveiled the nonlinear relationships between UHR and these metabolic indicators in different genders through correlation analysis and smooth curve fitting. Initially, our correlation analysis revealed that in both male and female groups, BMI, CRP, HOMA-IR, INS, Non-HDL-C, and TG were significantly positively correlated with UHR (p < 0.001), whereas LDL and TC did not exhibit significant positive or negative correlations. Compared to the total population, the correlation coefficients of various variables in the female group were generally higher than those in the male group, particularly for BMI, HOMA-IR, INS, and TG, with coefficients of 0.398, 0.369, 0.405, and 0.384 (all p < 0.001), indicating that UHR has a stronger association with these metabolic indicators in females (Table 2; Fig. 4, Fig. S1 and S2).
Through smooth curve fitting and linear regression analyses, we further elucidated the specific relationships between UHR and various metabolic risk factors. In males, UHR showed significant positive correlations with HOMA-IR, INS, and TG, with regression coefficients of 0.25 (95% CI: 0.21–0.28), 0.81 (95% CI: 0.73–0.89), and 0.11 (95% CI: 0.10–0.12), respectively; however, the regression relationship between LDL and UHR was not significant (p > 0.05). In females, UHR had higher regression coefficients with BMI and INS, being 0.74 (95% CI: 0.68–0.80) and 1.06 (95% CI: 0.98–1.13), respectively; additionally, CRP and TG were also significantly positively correlated with UHR, indicating that UHR may play a stronger role in metabolic and inflammatory pathways in females (Table 2; Fig. 5, Fig. S3 and S4).
Overall, the results suggest that associations between UHR and metabolic risk factors differ between genders. Particularly in females, the significant positive correlations with BMI, HOMA-IR, and TG imply that UHR may exacerbate diabetes risk by affecting metabolic indicators. These findings lay the groundwork for unveiling UHR’s potential mechanisms of action in subsequent mediation effect analyses.
Dose-response relationship (restricted cubic spline analysis)
In the overall population, restricted cubic spline (RCS) analysis indicated significant nonlinear relationships in the unadjusted (M1) and partially adjusted models (M2), but this relationship disappeared in the fully adjusted model (M3) (p > 0.05). Threshold analysis indicated that the inflection point for Model 1 was 8.30, and for Model 2, it was 9.52, suggesting that diabetes risk significantly increases beyond these UHR inflection points. In contrast, the nonlinear relationship disappeared in Model 3, indicating that certain covariates may have obscured the nonlinear effects of UHR (see Fig. 6).
Restricted Cubic Spline (RCS) Analysis of UHR and Diabetes Risk across Different Models. Panels A-C illustrate the relationship between UHR and diabetes risk in the overall population, Panels D-F show the relationship between UHR and diabetes risk in the male population, and Panels G-I display the relationship between UHR and diabetes risk in the female population. In each panel, the models are organized as follows: unadjusted model (A, D, G), partially adjusted model (B, E, H), and fully adjusted model (C, F, I)
In males, none of the models (M1, M2, and M3) showed significant nonlinear relationships (p > 0.05), indicating that the relationship between UHR and diabetes risk was relatively linear, without distinct inflection points. In females, both the unadjusted (M1) and partially adjusted models (M2) exhibited significant nonlinear relationships (p < 0.05), with inflection points at 8.27 and 8.29, respectively. UHR levels were significantly associated with diabetes risk even at lower ranges, but this nonlinear trend disappeared after full adjustment (M3) (p > 0.05), indicating that some covariates may have moderated UHR’s effect.
Overall, UHR exhibited more pronounced nonlinear effects in females, whereas no comparable effects were observed in males, indicating that gender differences may play a critical role in the relationship between UHR and diabetes risk.
Sensitivity and robustness analyses
We performed sensitivity tests for the RCS analysis and logistic regression models. In the RCS analysis, stepwise regression showed that incorporating any of the variables BMI, blood pressure, INS, or HOMA-IR into the model caused the previously significant nonlinear relationships in the overall and female populations to disappear (p > 0.05), suggesting that these metabolic indicators may play key regulatory roles in the relationship between UHR and diabetes risk. In the sensitivity analysis of the logistic regression models, after stepwise removal of key covariates such as hypertension, BMI, CRP, and HOMA-IR, the association between UHR and diabetes risk remained significant (p < 0.05), indicating that the model was highly robust. These results support the stability of UHR as a predictor of diabetes risk and imply that variables such as BMI and HOMA-IR may modulate UHR’s effect through specific metabolic pathways.
Mediation analysis
In the mediation analysis, UHR showed significant differences in its association with diabetes risk through three mediating variables: HOMA-IR, TG, and CRP (see Fig. 7). In the overall population, HOMA-IR was the primary mediating variable, accounting for 64.55% of the mediation effect, which was significantly higher than the effects of TG and CRP. In males, the mediation effect of HOMA-IR was more prominent, reaching 118.38%, suggesting that UHR was primarily associated with diabetes risk indirectly through HOMA-IR. The mediation effect of TG was also elevated in males, reaching 36.78%, while the mediation effect of CRP was relatively weak. In contrast, the mediation effect of HOMA-IR in the female group was reduced to 39.08%, but it still served as the primary mediating pathway, while the mediation effects of TG and CRP were 17.31% and 2.67%, respectively.
Mediation effects between UHR and diabetes risk. The mediation effects of IR (HOMA-IR), TG, and CRP as mediating variables were evaluated in the overall population (A-C), male group (D-F), and female group (G-I). The models were adjusted for covariates such as gender (Total population), age, race, education, PIR, hypertension, smoking, drinking, SBP, DBP, BMI, TC, Non-HDL-C, and LDL-C. TE denotes the total effect, DE the direct effect, and IE the indirect effect
Overall, HOMA-IR was the primary mediating variable in both the overall population and in gender-specific groups, while the mediation effects of TG and CRP were relatively low, with CRP exhibiting particularly weak indirect effects in all analyses. It is noteworthy that the mediation effects of HOMA-IR, TG, and CRP in males were all higher than in the overall population and the female group, indicating that UHR had a more pronounced association with diabetes risk through mediation pathways in males. This may imply that the mechanisms of UHR in different genders exhibit complexity and heterogeneity.
Discussion
This study included 6,843 participants, and the findings demonstrated a significant positive association between UHR and diabetes risk, particularly in females. Although UHR levels were significantly higher in males than in females, UHR had a more pronounced predictive effect on diabetes risk in females. Each unit increase in UHR was associated with an 18.6% increase in diabetes risk among women, and the prevalence of diabetes in the highest quartile was 8.49 times that of the lowest quartile, while no significant association was observed in men. Subgroup analysis revealed that the metabolic effect of UHR in females was significantly greater than in males, suggesting the crucial role of gender differences in diabetes risk. Moreover, UHR was significantly associated with various metabolic risk factors such as HOMA-IR, CRP, and TG, and the mediation analysis elucidated the roles of these variables in the relationship between UHR and diabetes risk.
In this study, we observed that UHR was more strongly associated with diabetes risk in females, while no similar association was found in males. However, in the mediation analysis, HOMA-IR demonstrated a strong mediating effect in both the overall and gender-specific populations, suggesting that the relationship between UHR and diabetes risk is primarily mediated by HOMA-IR. Particularly in the male group, the mediation effect of HOMA-IR reached 118.38%, while the direct effect was only − 0.001, indicating that UHR is primarily associated with diabetes risk through the indirect pathway of HOMA-IR, with the direct effect partially weakened or even offset due to the suppression effect. This result reveals the predominant role of HOMA-IR in the relationship between UHR and diabetes risk, indicating that UHR exerts its effects in males mainly through modulating insulin resistance pathways. HOMA-IR is a classical indicator for assessing the degree of insulin resistance (IR), reflecting insulin sensitivity by calculating fasting glucose and insulin levels. Studies have indicated that HOMA-IR is closely associated with diabetes risk [17, 20, 21], and higher values typically indicate worsening insulin resistance, thereby substantially increasing the risk of diabetes onset. Numerous studies have confirmed that IR is a critical mediating mechanism in the development of metabolic syndrome and diabetes [22, 23]. As a marker of metabolic abnormalities, the relationship between UHR and IR may represent a key pathway through which it influences diabetes risk [24, 25]. Research has found that elevated UHR is significantly associated with IR and may serve as a potential indicator of IR severity in patients with type 2 diabetes [26]. Additionally, a study based on the US population further confirmed the significant correlation between UHR and IR, supporting the potential clinical application value of UHR as a metabolic abnormality marker [27].These findings suggest that UHR is not only closely associated with diabetes risk but may also exert its effect indirectly by reflecting the degree of insulin resistance. Particularly in males, UHR primarily associates with diabetes risk through HOMA-IR, thereby diminishing its direct association, whereas in females, UHR presents a more complex multi-pathway pattern.
The positive correlation between elevated triglyceride (TG) levels and diabetes risk has been widely established in numerous studies. Naqvi et al. [28] suggested that TG is not only an indirect marker of diabetes but also has significant predictive value in the risk assessment of coronary heart disease. Even after adjusting for other metabolic risk factors, elevated TG levels still significantly increase the risk of type 2 diabetes [14]. Moreover, elevated TG levels are closely related to the occurrence of diabetic complications, such as diabetic neuropathy [29] and the progression of cardiovascular disease [30]. Although studies on the relationship between UHR and TG remain limited, existing evidence suggests that UHR is positively correlated with TG levels and may be involved in the pathogenesis of type 2 diabetes through its effects on the onset and progression of metabolic syndrome [24, 31]. Our findings further support this, showing a significant positive correlation between UHR and TG. Specifically, each 1-unit increase in UHR was associated with a 0.1 increase in TG levels (p < 0.05). Additionally, the mediation analysis showed that TG played a key mediating role in the pathway linking UHR to diabetes risk, suggesting that it may be associated with UHR’s relationship to diabetes risk through modulation of lipid metabolism pathways.
CRP, as a classical inflammatory marker, has been widely confirmed to be significantly associated with diabetes risk and may accelerate the onset and progression of diabetes through the promotion of insulin resistance mechanisms [32]. Studies have shown that elevated CRP levels are positively correlated with HbA1c, reflecting the metabolic abnormalities in diabetic patients [33], and are closely related to the development of diabetic retinopathy, indicating that inflammation may play a pivotal role in diabetic complications [34]. Additionally, CRP has significant value in predicting the risk of gestational diabetes, suggesting its broad applicability across different types of diabetes [35]. CRP levels are also related to the efficacy of antidiabetic drugs (e.g., metformin), indicating its potential utility in diabetes management [36]. Moreover, the relationship between CRP and diabetes-related vascular lesions has also been confirmed [37], further underscoring the central role of inflammation in the progression of diabetes. Although the mediating role of CRP in the association between UHR and diabetes risk was relatively low in this study, its relationship remained statistically significant (p < 0.05). This finding suggests that CRP may play a supportive role in the onset and progression of diabetes through local inflammation and metabolic modulation. Therefore, although the mediating effect of CRP is relatively weak, its potential mechanisms and clinical implications in diabetes and related metabolic diseases should not be ignored.
Notably, although UHR levels were significantly higher in males than in females, UHR demonstrated a stronger association with diabetes risk in females. This gender difference may reflect distinct metabolic and inflammatory response mechanisms between men and women: in males, UHR primarily affects diabetes risk indirectly through the HOMA-IR pathway, while females may be more sensitive to insulin resistance, lipid metabolism disorders, and chronic inflammation, thus experiencing a significant metabolic burden as UHR increases. Additionally, sex hormones, such as estrogen, play a regulatory role in female metabolism, potentially enhancing the association between UHR and metabolic risk factors (e.g., HOMA-IR, TG, and CRP), thereby increasing diabetes risk—a relationship that warrants further investigation.
Overall, this study, based on a large sample from the NHANES database with strong national representation, enhances the external validity and robustness of the findings. This study is the first to systematically explore the mediating effect of UHR on diabetes risk from a gender perspective, specifically analyzing the distinct roles of HOMA-IR, TG, and CRP in the relationship between UHR and diabetes risk. These findings suggest that UHR may serve as an important gender-specific biomarker for diabetes risk assessment and offer new insights into personalized diabetes prevention and intervention strategies, highlighting the need for future research to further investigate the mechanisms underlying gender differences.
Nevertheless, this study has several limitations. First, the cross-sectional design limits causal inference, making it difficult to clarify the temporal relationship between UHR and diabetes risk. Additionally, due to issues with data availability, this study only included three cycles of NHANES data, which may impact the generalizability of the findings. Future research should consider employing a longitudinal design with a larger sample size to better elucidate the temporal effects of UHR on diabetes onset and progression. Second, although this study analyzed the mediating effects of HOMA-IR, TG, and CRP, other metabolic or hormonal factors that may influence gender differences (e.g., sex hormone levels, patterns of fat distribution) were not included. These factors could play a significant regulatory role in the female population, potentially amplifying gender differences. Future studies should further validate the mediating effects of HOMA-IR, TG, and CRP and consider incorporating factors such as sex hormone levels to provide a more comprehensive understanding of the impact of UHR on diabetes risk. Additionally, due to limitations in the NHANES database, this study was unable to differentiate between diabetes types, such as type 1 diabetes. Future research could utilize real-world data to separately investigate the relationship between UHR and the risk of different types of diabetes, thereby enhancing the generalizability and clinical applicability of these findings.
Conclusions
This study reveals the complex gender differences in the association between UHR and diabetes risk. Although UHR levels are significantly higher in males than in females, UHR shows a stronger association with diabetes risk in females, suggesting a unique metabolic relevance in women. Additionally, mediation analysis indicates that in males, UHR is more substantially associated with diabetes risk through intermediary pathways involving insulin resistance, lipid metabolism, and inflammation, compared to females. This finding suggests that metabolic and inflammatory pathways may operate differently across genders, providing new insights for personalized diabetes screening and intervention strategies.
Data availability
All datasets provided in this study are derived from the National Health and Nutrition Examination Survey (NHANES) and are accessible on the NHANES official website at https://www.cdc.gov/nchs/nhanes/index.htm.
Abbreviations
- OR:
-
Odds Ratio
- CI:
-
Confidence interval
- NHANES:
-
National Health and Nutrition Examination Survey
- IPR:
-
Income Poverty Ratio
- BMI:
-
Body mass index
- BP:
-
Blood pressure
- DBP:
-
Diastolic Blood Pressure
- SBP:
-
Systolic Blood Pressure
- TG:
-
Triglyceride
- TC:
-
Total Cholesterol
- HDL-C:
-
High-density lipoprotein cholesterol
- Non-HDL-C:
-
Non-high-density lipoprotein cholesterol
- LDL-C:
-
Low-density lipoprotein cholesterol
- HbA1c:
-
Glycohemoglobin
- INS:
-
Insulin
- RPG:
-
Random plasma glucose
- FPG:
-
Fasting plasma glucose
- OGTT:
-
Oral glucose tolerance test
- IR:
-
Insulin resistance
- CRP:
-
C-reactive protein
- UA:
-
Uric acid
- UHR:
-
Uric Acid to High-Density Lipoprotein Cholesterol Ratio
References
Sun H, Saeedi P, Karuranga S, Pinkepank M, Ogurtsova K, Duncan BB, Stein C, Basit A, Chan JC, Mbanya JC, et al. IDF Diabetes Atlas: Global, regional and country-level diabetes prevalence estimates for 2021 and projections for 2045. Diabetes Res Clin Pr. 2022;183:109119.
Wang J, Qin T, Chen J, Li Y, Wang L, Huang H, Li J. Hyperuricemia and risk of incident hypertension: a systematic review and meta-analysis of observational studies. PLoS ONE. 2014;9(12):e114259.
Yu W, Cheng J. Uric acid and cardiovascular disease: an update from molecular mechanism to clinical perspective. Front Pharmacol. 2020;11:582680.
Drew BG, Rye K, Duffy SJ, Barter P, Kingwell BA. The emerging role of HDL in glucose metabolism. Nat Rev Endocrinol. 2012;8(4):237–45.
Wang H, Peng D. New insights into the mechanism of low high-density lipoprotein cholesterol in obesity. Lipids Health Dis. 2011;10:1–10.
Balci SB, ATAK TEL BM, Duman T, Ozkul FN, Aktas G. A novel marker for prediabetic conditions: uric acid-to-HDL cholesterol ratio. Bratislava Med Journal/Bratislavské Lekárske Listy 2024, 125(3).
Sun H, Su H, Zheng R, Liu C, Wang Y, Fang C. Serum uric acid to high-density lipoprotein cholesterol ratio is associated with visceral fat in patients with type 2 diabetes. Diabetes Metabolic Syndrome Obes 2023:959–67.
MacDonald IA. A review of recent evidence relating to sugars, insulin resistance and diabetes. Eur J Nutr. 2016;55(Suppl 2):17–23.
Wei X, Zhang M, Huang S, Lan X, Zheng J, Luo H, He Y, Lei W. Hyperuricemia: a key contributor to endothelial dysfunction in cardiovascular diseases. FASEB J. 2023;37(7):e23012.
Bahadoran Z, Mirmiran P, Kashfi K, Ghasemi A. Hyperuricemia-induced endothelial insulin resistance: the nitric oxide connection. Pfl{\u}gers Archiv-European J Physiol. 2022;474(1):83–98.
Pradhan AD, Manson JE, Rifai N, Buring JE, Ridker PM. C-reactive protein, interleukin 6, and risk of developing type 2 diabetes mellitus. JAMA-J Am Med Assoc. 2001;286(3):327–34.
Lu W, Xu Y, Shao X, Gao F, Li Y, Hu J, Zuo Z, Shao X, Zhou L, Zhao Y, et al. Uric acid produces an inflammatory response through activation of NF-$\kappa$B in the hypothalamus: implications for the pathogenesis of metabolic disorders. Sci Rep-UK. 2015;5(1):12144.
Khera AV, Cuchel M, De La Llera-Moya M, Rodrigues A, Burke MF, Jafri K, French BC, Phillips JA, Mucksavage ML, Wilensky RL, et al. Cholesterol efflux capacity, high-density lipoprotein function, and atherosclerosis. New Engl J Med. 2011;364(2):127–35.
Beshara A, Cohen E, Goldberg E, Lilos P, Garty M, Krause I. Triglyceride levels and risk of type 2 diabetes mellitus: a longitudinal large study. J Invest Med. 2016;64(2):383–7.
Grundy SM. Hypertriglyceridemia, insulin resistance, and the metabolic syndrome. Am J Cardiol. 1999;83(9):25–9.
Oliveri A, Rebernick RJ, Kuppa A, Pant A, Chen Y, Du X, Cushing KC, Bell HN, Raut C, Prabhu P, et al. Comprehensive genetic study of the insulin resistance marker TG: HDL-C in the UK Biobank. Nat Genet. 2024;56(2):212–21.
Wallace TM, Levy JC, Matthews DR. Use and abuse of HOMA modeling. Diabetes Care. 2004;27(6):1487–95.
Muniyappa R, Lee S, Chen H, Quon MJ. Current approaches for assessing insulin sensitivity and resistance in vivo: advantages, limitations, and appropriate usage. Am J Physiol-Endoc M. 2008;294(1):E15–26.
Team DC. DecisionLinnc. 1.0. In.; 2023.
Matthews DR, Hosker JP, Rudenski AS, Naylor BA, Treacher DF, Turner RC. Homeostasis model assessment: insulin resistance and β-cell function from fasting plasma glucose and insulin concentrations in man. Diabetologia. 1985;28:412–9.
Bonora E, Targher G, Alberiche M, Bonadonna RC, Saggiani F, Zenere MB, Monauni T, Muggeo M. Homeostasis model assessment closely mirrors the glucose clamp technique in the assessment of insulin sensitivity: studies in subjects with various degrees of glucose tolerance and insulin sensitivity. Diabetes Care. 2000;23(1):57–63.
Reaven GM. Role of insulin resistance in human disease. Diabetes. 1988;37(12):1595–607.
Kahn SE, Cooper ME, Del Prato S. Pathophysiology and treatment of type 2 diabetes: perspectives on the past, present, and future. Lancet. 2014;383(9922):1068–83.
Yu X, Sun F, Ming J, Liang S, Zhang W, Wang L, Li Q, Xu Q, Wang L, Shi L, et al. Serum uric acid to high-density lipoprotein cholesterol ratio is a promising marker for identifying metabolic syndrome in nondiabetic Chinese men. Postgrad Med. 2023;135(7):741–9.
Kocak MZ, Aktas G, Erkus E, Sincer I, Atak B, Duman T. Serum uric acid to HDL-cholesterol ratio is a strong predictor of metabolic syndrome in type 2 diabetes mellitus. Revista Da Associação Médica Brasileira. 2019;65:9–15.
Zhou X, Xu J. Association between serum uric acid-to-high-density lipoprotein cholesterol ratio and insulin resistance in patients with type 2 diabetes mellitus. J Diabetes Invest. 2024;15(1):113–20.
Zhou X, Xu J. Association between serum uric acid-to-high-density lipoprotein cholesterol ratio and insulin resistance in an American population: a population-based analysis. J Diabetes Invest. 2024;15(6):762–71.
Naqvi S, Naveed S, Ali Z, Ahmad SM, Khan RA, Raj H, Shariff S, Rupareliya C, Zahra F, Khan S. Correlation between glycated hemoglobin and triglyceride level in type 2 diabetes mellitus. Cureus J Med Sci 2017, 9(6).
Wiggin TD, Sullivan KA, Pop-Busui R, Amato A, Sima AA, Feldman EL. Elevated triglycerides correlate with progression of diabetic neuropathy. Diabetes. 2009;58(7):1634–40.
Ye X, Kong W, Zafar MI, Chen L. Serum triglycerides as a risk factor for cardiovascular diseases in type 2 diabetes mellitus: a systematic review and meta-analysis of prospective studies. Cardiovasc Diabetol. 2019;18:1–10.
Bazmandegan G, Hasan Dehghani M, Karimifard M, Kahnooji M, Balaee P, Zakeri MA, Kamiab Z. Uric acid to HDL ratio: a marker for predicting incidence of metabolic syndrome in patients with type II diabetes. Nutr Metabolism Cardiovasc Dis. 2024;34(4):1014–20.
Hotamisligil GOKS. Inflammation and metabolic disorders. Nature. 2006;444(7121):860–7.
Seo Y, Shin H. Relationship between hs-CRP and HbA1c in diabetes mellitus patients: 2015–2017 Korean National Health and Nutrition Examination Survey. Chonnam Med J. 2021;57(1):62.
Song J, Chen S, Liu X, Duan H, Kong J, Li Z. Relationship between C-reactive protein level and diabetic retinopathy: a systematic review and meta-analysis. PLoS ONE. 2015;10(12):e0144406.
Amirian A, Rahnemaei FA, Abdi F. Role of C-reactive protein (CRP) or high-sensitivity CRP in predicting gestational diabetes Mellitus: systematic review. Diabetes \& Metabolic Syndrome: Clin Res Reviews. 2020;14(3):229–36.
Shi L, Tan G, Zhang K. Relationship of the serum CRP level with the efficacy of Metformin in the treatment of type 2 diabetes Mellitus: a Meta-analysis. J Clin Lab Anal. 2016;30(1):13–22.
Mugabo Y, Li L, Renier G. The connection between C-reactive protein (CRP) and diabetic vasculopathy. Focus on preclinical findings. Curr Diabetes Rev. 2010;6(1):27–34.
Acknowledgements
We appreciate the NHANES databases for offering their platform and supplying valuable datasets.
Funding
This research was supported by the Zhejiang Provincial Natural Science Foundation of China (Grant No. LQ24H270013), the Zhejiang Province Traditional Chinese Medicine Science and Technology Plan Project (No. 2024ZR102), the School-level Scientific Research Fund Talent Project of Zhejiang Chinese Medical University (No. 2022RCZXZK17), and the Key Project of Zhejiang Province Traditional Chinese Medicine Science and Technology Plan (No. 2022ZZ010).
Author information
Authors and Affiliations
Contributions
J.Y.:Writing original draft; Writing-review&editing; Methodology; Data analysis and visualization. C.Z.:Writing original draft; Writing-review&editing; Methodology; Data analysis and visualization. Z.L.: Writing-review&editing; Data analysis; Visualization. Y.C.:Writing-review&editing; Data analysis. L.C.: Supervision, Funding acquisition. Y.Q.:Methodology; Validation; Writing-review; Funding acquisition. All authors approved the manuscript and agreed to publish.
Corresponding authors
Ethics declarations
Ethics approval and consent to participate
This study used publicly available summary data, and ethics approval was not necessary.
Informed consent
Written informed consent was obtained from all participants in the study.
Competing interests
The authors declare no competing interests.
Additional information
Publisher’s note
Springer Nature remains neutral with regard to jurisdictional claims in published maps and institutional affiliations.
Electronic supplementary material
Below is the link to the electronic supplementary material.
Rights and permissions
Open Access This article is licensed under a Creative Commons Attribution-NonCommercial-NoDerivatives 4.0 International License, which permits any non-commercial use, sharing, distribution and reproduction in any medium or format, as long as you give appropriate credit to the original author(s) and the source, provide a link to the Creative Commons licence, and indicate if you modified the licensed material. You do not have permission under this licence to share adapted material derived from this article or parts of it. The images or other third party material in this article are included in the article’s Creative Commons licence, unless indicated otherwise in a credit line to the material. If material is not included in the article’s Creative Commons licence and your intended use is not permitted by statutory regulation or exceeds the permitted use, you will need to obtain permission directly from the copyright holder. To view a copy of this licence, visit http://creativecommons.org/licenses/by-nc-nd/4.0/.
About this article
Cite this article
Yin, J., Zheng, C., Li, Z. et al. Gender differences in the association between the uric acid to high-density lipoprotein cholesterol ratio and diabetes risk: a mediation analysis of c-reactive protein, triglycerides, and insulin resistance. Lipids Health Dis 23, 409 (2024). https://doi.org/10.1186/s12944-024-02404-6
Received:
Accepted:
Published:
DOI: https://doi.org/10.1186/s12944-024-02404-6






